Posts
-
Exploring Vision as a Resource
<10min read Strategy games, at their heart, are imperfect information games with an emphasis on decision making. Mistakes accumulate, good engagements stack up, inefficiencies get…
-
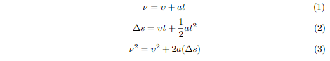
Motion Equations Derivation
<5min read In Predictable Jumps we created methods to resolve jump velocities, time and forces. These were resolved using the Equations of Motion. Here, for…
-
Predictable Jumps (with Forces)
<5min read After fumbling our way through snake, bejewelled or space invaders, many game devs attempt a platformer. If you didn’t try writing your own…


