<5min read
In Predictable Jumps we created methods to resolve jump velocities, time and forces. These were resolved using the Equations of Motion. Here, for those interested, I’ll show derivations for the first 3 which are commonly used in game development.
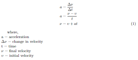
Velocity-Time
Starting with the defintion of acceleration.

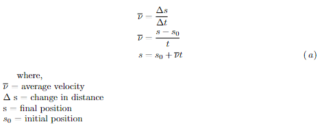
Position-Time
Starting with the definition of average velocity.

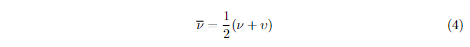
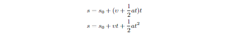
Continuing with the mean speed theorem.

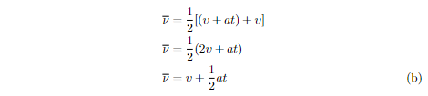
Sustitute (1) into (4).

Substitute (b) into (a) and solve for s.

Also written as,

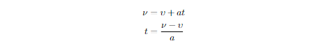
Velocity-Position
Starting by solving (1) by time.

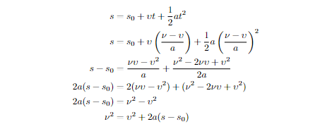
Sustituting into (2).

Also written as,

Usage
When learning how to develop games, especially at the start, we often find ourselves working with inexact quantities or trial and erroring our way to something that works. Mechanically, most of what we’re doing has some basis in kinematics or dynamics, and so sometimes a little maths can go a long way.
LaTeX code for images can be found here.